飯塚市議会議員「えぐち徹」のつれづれ日記

飯塚市議会議員えぐち徹の足跡です。

飯塚市の奨学金、大きく変わります!

9月議会で「議案57号 飯塚市奨学資金貸付基金条例の一部を改正する条例」が可決となり、奨学資金貸付基金条例が大きく変わりました。9月20日のブログでは、この条例改正は実は大きな改正なんだという点だけ触れていましたが、今日はその概略を紹介したいと思います。


まずは、奨学金って何?ってところからスタートしましょう。
奨学金とは、読んで字のごとく「学ぶことを奨(すす)めるためのお金」ですね。

目的は大きく二つあります。
一つは、勉強したいんだけどお金に困っているという人を助けるため、
もう一つは、学業などが優秀な人を応援する目的です。
多くの場合は、1つめの経済的に苦しい人を助けるための制度となっています。


いろんな奨学金がありますが、代表的なのは日本学生支援機構奨学金
日本学生支援機構HP → http://www.jasso.go.jp
昔の名前だと日本育英会と言いました。私たち世代にはコチラの方がなじみ深いですね。
けっこう多くの学生がお世話になりました。


私も申請したのですが、残念ながら落選(涙)
家庭の所得なども条件ではあるのですが、妹がもらえていることを考えるとどうやら成績が悪かったせいのようです(汗)

他にも、病気や災害などで保護者を亡くした方などのための奨学金を出している「あしなが育英会」なども有名どころ。 あしなが育英会HP → http://www.ashinaga.org/grant/index.html


日本学生支援機構は、独立行政法人で国がお金を出して運営しています。
対して、あしなが育英会は民間非営利団体。国などからの補助金助成金は受けず、すべて寄付金で運営されています。
他にも、色んな民間団体や都道府県・市町村なども奨学金制度を用意しています。
飯塚市もその一つです。


で、次は、前回のおさらいをしましょう。
今回の奨学資金貸付基金条例の一部改正案は、今まで貸与型だった奨学金を変更し、卒業後市内に一定期間定住すると返還不要となる制度とするための条例案です。
また、今回の改正で、公立高校は対象から外れることとしてあります。
変更後の貸付人員は、私立高等学校・高専が10人以内、専修学校・短期大学・大学が18人以内
貸付額は、私立高等学校・高専が月額1万5千円、専修学校・公立大・公立短大が月額3万円、私立大学・私立短大が月額4万5千円となっています。


ここまでが、前回お届けした情報。
で、大きいのは、おさらいの最初にあるように「貸与型だった奨学金を変更し、卒業後市内に一定期間定住すると返還不要となる制度とするための条例」となったことです。
今までは、貸与型、つまり「奨学金を貸すけど返してね。」という制度だったのを、「奨学金貸すよ、ただ卒業した後に飯塚に住んでくれたら、その間返すはずの奨学金はチャラにするよ」という制度に変わったのです。


このように、返還免除になったというのが大きな条例改正と言った理由。
なぜ、今回このように制度を変えたのでしょうか。
実は、学生を応援するための奨学金ですが、借りたは良いけど、返すのが大変!という方が結構増えてきているんです。

大学の学費を見ても右肩上がりに上がってきています。

【大学学費の推移】

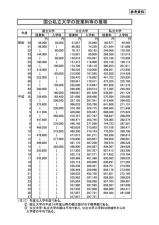
【国公私立大学の授業料等の推移】

私が大学生になったとき(1985年)の学費は、国立大学で年間25万2千円だったと記憶しています。半期で12万6千円。
それが今では、年額53万5800円とほぼ倍に値上がりしています。

このような学費が高くなる中で奨学金を利用する人も増え、大学生では約4割の学生が何らかの奨学金を受けているそうです。

他方で、就職の状況を見てみましょう。
厚労省の発表では、2017年3月に卒業した大学生の就職率(4月1日時点)は97.6%で前年同期比を0.3ポイント上回り、調査開始以降過去最高を記録したそうです。

でも・・・正規雇用と非正規雇用の割合はどうでしょう。同じく厚労省の発表によると2016年の男性の正規率は78.3%、対して女性は42.2%となっています。

また、名目賃金指数という数字では、2015年を100とすると2016年が100.6に対し、2000年は111.7となっています。2015年より2000年の方が約12%も賃金が高かったんですね。消費税の事をあわせて考えると家計が厳しいのは数字の上でも明らかのようです。

このように、日本の強みの一つと言われていた終身雇用・右肩上がりの給料は終わり、大企業でも潰れる時代です。そうして返したくても返せない方々が増えてきたのです。


そのような状況の中で、奨学金のあり方を考え直そうという動きが今大きくなりつつあります。
日本の奨学金の多くは貸与型ですが、欧米の奨学金は給付型と言って、最初から「返さなくて良いよ」という制度が多いそうです。そのような給付型に奨学金を変えていこうというのが、最近の流れです。

国会での議論だけでなく、私たち地方議会もその後押しをしており、去年の9月議会では『返済不要の「給付型奨学金」の創設及び無利子奨学金の拡充を求める意見書』を採択しています。
今回は、給付型とまではいきませんが、「奨学資金の貸し付けを受ける者に対し、卒業後に市内に居住することで、その返還額を一定額免除することで返還時の経済的負担を軽減することで、これまでよりも利用しやすい奨学金制度にし、教育機会の均等に寄与するための関係規定を整備するため」今回の条例改正を行いたいと市は説明しています。


制度の詳細は、また後日説明しますが、簡単に言うと、今までは貸与型で貸したお金は原則返してもらってたので市のお金は減らなかったのが、今回の変更で、チャラになる分が減っていくこととなりました。
これが大きな変更点という理由。条例改正だけでなく、当然予算も変えなくてはなりません。
今後、最高では年間4428万円が年間必要となるとされており、今回の補正予算では、奨学金の変更のために1億6千万円を追加補正しています。

これが、大きな条例改正といった理由です。
改正の議論のネット中継はコチラから。
→ https://youtu.be/sIbAWnz0Qns 平成29年9月20日福祉文教委員会その1(6まであります)
なお、会議録についてはもうしばらくお待ちください(^_^;)